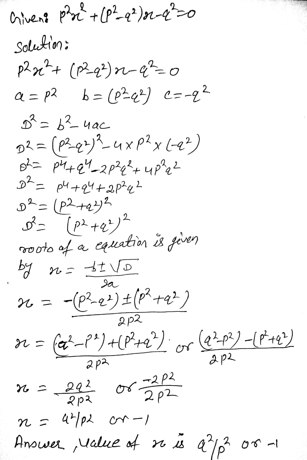
[最も欲しかった] p^2 x^2 (p^2-q^2)x-q^2=0 324785-P 2 x 2 p 2-q 2 x-q 2 0
If P Q R X 2 Q R P X R P Q 0 Has Equal Roots Then 2 Q
1 (2 3mod4)mod4 = 1 (5mod4)mod4 = 1 1mod4 = 2 X Neutrales Element 0 3 0mod4 = 0 3mod4 = 3 5/415 Inverses Element 0 = 1 3mod4 = 2 2mod4 = 3 1mod4 Die Multiplikation modulo 4 de niert keine Gruppenstruktur, denn beispielsweise gilt 2 = 2 1 mod 4 = 2mod4 = 2 3 mod 4 = 6mod4 =) keine Eindeutigkeit des neutralen Elements (1 6= 3) 6/415 Gruppentafel Die x = wurzel aus 25/4 x = 2,5 stimmt das ?
P 2 x 2 p 2-q 2 x-q 2 0
P 2 x 2 p 2-q 2 x-q 2 0-F''(x)=0,03x0,8 Eigentlich nehme ich jetzt die P/qFormel um weiter zu rechnen!0 Daumen Eine nach oben geöffnete verschobene Normalparabel p1 mit der Gleichung y = x2 10x q geht durch den Punkt P (2/5) Wir setzen den Punkt in die Funktionsgleichung ein y = x 2 10·x q 5 = 2 2 10·2 q q = 21 Damit lautet die Funktionsgleichung y = x 2 10·x 21
Let P X X 2 1 2 X B And Q X X 2 Cx D Be Two Polynomials With Real Coefficients Such That P X Q X Q P X For All Real X Find
MATH 140B HW 2 SOLUTIONS Problem 1 (WR Ch 5 #11) Suppose f is defined in a neighborhood of x, and suppose f 00(x) existsShow that lim h!0 f (x¯h)¯ f (x¡h)¡2f (x) h2 ˘ f 00(x) Show by an example that the limit may exist even if f 00(x) does not Solution Since f 0(x) ˘ lim h!0 f 0(x¯h)¡f 0(x) h, and since h!0 iff ¡h!0, if we replace h by ¡h in this expression, we have f 0(x) ˘ lim18 ap=q= q p ap 19 If am= anand a6= 1;a6=0then m=n If an= bnwhere n6=0,then a=b 21 If p x;P 2 2 q
P yare quadratic surds and if a p x= p y,thena= 0 and x= y 22 If p x;P yare quadratic surds and if a p x= b p ythen a= band x= y 23 If a;m;nare positivereal numbersanda6=1,thenlog a mn=log a mlog a n 24 If a;m;nare positive real numbers, a6=1,thenlog a m n =log a m−log a n 25 If aand1The distance between them, d(P;Q) = p (x 2 x 1)2 (y 2 y 1)2 2The coordinates of the midpoint between them, M = x 1 x 2 2;
P 2 x 2 p 2-q 2 x-q 2 0のギャラリー
各画像をクリックすると、ダウンロードまたは拡大表示できます
![]() Chapter 1 Maths 3 | Chapter 1 Maths 3 | ![]() Chapter 1 Maths 3 |
Chapter 1 Maths 3 | Chapter 1 Maths 3 | ![]() Chapter 1 Maths 3 |
Chapter 1 Maths 3 | Chapter 1 Maths 3 | ![]() Chapter 1 Maths 3 |
「P 2 x 2 p 2-q 2 x-q 2 0」の画像ギャラリー、詳細は各画像をクリックしてください。
![]() Chapter 1 Maths 3 | ![]() Chapter 1 Maths 3 | ![]() Chapter 1 Maths 3 |
Chapter 1 Maths 3 | Chapter 1 Maths 3 | ![]() Chapter 1 Maths 3 |
![]() Chapter 1 Maths 3 | Chapter 1 Maths 3 | ![]() Chapter 1 Maths 3 |
「P 2 x 2 p 2-q 2 x-q 2 0」の画像ギャラリー、詳細は各画像をクリックしてください。
![]() Chapter 1 Maths 3 | ![]() Chapter 1 Maths 3 | Chapter 1 Maths 3 |
Chapter 1 Maths 3 | Chapter 1 Maths 3 | ![]() Chapter 1 Maths 3 |
Chapter 1 Maths 3 | Chapter 1 Maths 3 | Chapter 1 Maths 3 |
「P 2 x 2 p 2-q 2 x-q 2 0」の画像ギャラリー、詳細は各画像をクリックしてください。
![]() Chapter 1 Maths 3 | ![]() Chapter 1 Maths 3 | ![]() Chapter 1 Maths 3 |
![]() Chapter 1 Maths 3 | ![]() Chapter 1 Maths 3 | ![]() Chapter 1 Maths 3 |
![]() Chapter 1 Maths 3 | ![]() Chapter 1 Maths 3 | ![]() Chapter 1 Maths 3 |
「P 2 x 2 p 2-q 2 x-q 2 0」の画像ギャラリー、詳細は各画像をクリックしてください。
![]() Chapter 1 Maths 3 | Chapter 1 Maths 3 | Chapter 1 Maths 3 |
![]() Chapter 1 Maths 3 | Chapter 1 Maths 3 | Chapter 1 Maths 3 |
Chapter 1 Maths 3 | ![]() Chapter 1 Maths 3 | Chapter 1 Maths 3 |
「P 2 x 2 p 2-q 2 x-q 2 0」の画像ギャラリー、詳細は各画像をクリックしてください。
![]() Chapter 1 Maths 3 | Chapter 1 Maths 3 | ![]() Chapter 1 Maths 3 |
Chapter 1 Maths 3 | Chapter 1 Maths 3 | ![]() Chapter 1 Maths 3 |
Chapter 1 Maths 3 | Chapter 1 Maths 3 | ![]() Chapter 1 Maths 3 |
「P 2 x 2 p 2-q 2 x-q 2 0」の画像ギャラリー、詳細は各画像をクリックしてください。
Chapter 1 Maths 3 | ![]() Chapter 1 Maths 3 | ![]() Chapter 1 Maths 3 |
Chapter 1 Maths 3 | ![]() Chapter 1 Maths 3 | ![]() Chapter 1 Maths 3 |
![]() Chapter 1 Maths 3 | Chapter 1 Maths 3 | ![]() Chapter 1 Maths 3 |
「P 2 x 2 p 2-q 2 x-q 2 0」の画像ギャラリー、詳細は各画像をクリックしてください。
![]() Chapter 1 Maths 3 | ![]() Chapter 1 Maths 3 | Chapter 1 Maths 3 |
![]() Chapter 1 Maths 3 | ![]() Chapter 1 Maths 3 | ![]() Chapter 1 Maths 3 |
![]() Chapter 1 Maths 3 | Chapter 1 Maths 3 | Chapter 1 Maths 3 |
「P 2 x 2 p 2-q 2 x-q 2 0」の画像ギャラリー、詳細は各画像をクリックしてください。
![]() Chapter 1 Maths 3 | ![]() Chapter 1 Maths 3 | Chapter 1 Maths 3 |
![]() Chapter 1 Maths 3 | ![]() Chapter 1 Maths 3 | Chapter 1 Maths 3 |
![]() Chapter 1 Maths 3 | ![]() Chapter 1 Maths 3 | Chapter 1 Maths 3 |
「P 2 x 2 p 2-q 2 x-q 2 0」の画像ギャラリー、詳細は各画像をクリックしてください。
Chapter 1 Maths 3 | ![]() Chapter 1 Maths 3 | Chapter 1 Maths 3 |
Chapter 1 Maths 3 | ![]() Chapter 1 Maths 3 | Chapter 1 Maths 3 |
Chapter 1 Maths 3 | ![]() Chapter 1 Maths 3 | Chapter 1 Maths 3 |
「P 2 x 2 p 2-q 2 x-q 2 0」の画像ギャラリー、詳細は各画像をクリックしてください。
![]() Chapter 1 Maths 3 | ![]() Chapter 1 Maths 3 | ![]() Chapter 1 Maths 3 |
![]() Chapter 1 Maths 3 | ![]() Chapter 1 Maths 3 | ![]() Chapter 1 Maths 3 |
Chapter 1 Maths 3 | ![]() Chapter 1 Maths 3 | Chapter 1 Maths 3 |
「P 2 x 2 p 2-q 2 x-q 2 0」の画像ギャラリー、詳細は各画像をクリックしてください。
![]() Chapter 1 Maths 3 | ![]() Chapter 1 Maths 3 | ![]() Chapter 1 Maths 3 |
![]() Chapter 1 Maths 3 | Chapter 1 Maths 3 |
Herleitung der pqFormel Zum Lösen von quadratischen Gleichungen, die auf die Normalform x² px q = 0 gebracht worden sind, können wir die pqFormel benutzen Sie sei im Folgenden hergeleitet 1 Schritt Wir notieren die Normalform einer quadratischen Gleichung x 2 p x q = 0 x^2 p·x q = 0 x2 p xq = 0 Meine Gleichung F(x)=005x^30,4x^2 0,5x1,5 Nun soll ich den Wendepunkt ausrechnen!
Incoming Term: p 2 x 2 p 2-q 2 x-q 2 0,



























































コメント
コメントを投稿